A situação atual do SNS e perspetivas futuras: as condições de trabalho dos médicos e a diminuição do poder de compra das suas remunerações, o “Plano de emergência da Saúde” do governo AD, o que é, e os seus verdadeiros objetivos
Neste estudo, constituído por 27 slides, que utilizei numa intervenção que fiz num FORUM, a convite da Federação Nacional dos Médicos (FNAM), analiso, utilizando, um conjunto grande de dados oficiais, a situação atual do SNS e dos seus profissionais, mostrando as graves dificuldades que enfrentam, o que está a dificultar muito o acesso da população a cuidados de saúde. Analiso, também, embora de uma forma sintética ( tive de condensar as 208 paginas do “Plano” em apenas 2 quadros com as principais medidas para ser inteligível mesmo para os que disponham de pouco tempo) o “PLANO DE EMERGÊNCIA DA SAÚDE” do governo AD mostrando que ele não resolverá os graves problemas que enfrenta atualmente a população no acesso ao bem saúde, pois ele assenta fundamentalmente na contratação de serviços de saúde a prestadores privados cuja capacidade de resposta é muito limitada, pois vivem à custa dos médicos e enfermeiros do SNS, e o governo não reforça o SNS para que este tenha capacidade para responder de uma forma plena às necessidades da população em serviços de saúde. Para além disso é uma “solução mais cara” pois tem-se de garantir lucros aos privados pois eles “não trabalham para aquecer”.
Estudo
A situação atual do SNS e perspetivas futuras: as condições de trabalho dos médicos e a diminuição do poder de compra das suas remunerações, o “Plano de emergência da Saúde” do governo AD, o que é, e os seus verdadeiros objetivos
UMA JUSTIFICAÇÃO E UM ESCLARECIMENTO INICIAL
Estes slides constituíram a base da intervenção/contribuição que fiz numa sessão do “FORUM FNAM : Evolução em 50 anos de Liberdade e qual o Futuro”, em 1/6/2024, para a qual fui convidado pela Federação dos Sindicatos do Médicos (FNAM), que aproveito para agradecer. A razão da sua divulgação é o facto de reunir um conjunto grande de dados oficiais atualizados sobre a situação do SNS e dos seus profissionais, que se encontram dispersos em várias fontes o que dificulta o seu acesso, e que assim se facilita a sua utilização, permitindo desta forma uma reflexão fundamentada sobre a situação do SNS e dos seus profissionais, perspetivar o futuras do SNS, e o que deve ser mudado. E o mais importante, permitir aos leitores tirarem as suas próprias conclusões, não se deixando condicionar pela propaganda oficial ou oficiosa, dominante nos media . Este conjunto de slides está dividido em duas partes, a saber: PARTE I e PARTE II
Na PARTE I analisa-se a situação atual do SNS em relação aos seus principais profissionais (médicos e enfermeiros), com remunerações a perderem poder de compra; com uma multiplicidade de horários de trabalho que causam uma profunda desorganização do SNS, dificultando a constituição de equipas e o debate multidisciplinar de casos de doente, o que impede a utilização das melhores práticas médicas e a formação, por excelência, dos médicos; o abandono do SNS fundamentalmente pelos médicos mais experientes e qualificados para os grandes grupos privados de saúde ou para o estrangeiro; a distribuição desigual de médicos e enfermeiros pelas diferentes regiões do país, o que determina crises no acesso maiores em certas regiões; orçamentos do SNS inferiores às necessidades, causando enormes dividas do SNS aos fornecedores privados, ineficiências e desresponsabilização; investimentos insuficientes (menos de metade do previstos nos Orçamentos do SNS é executado) o que estão a causar a profunda degradação do SNS (em instalações, equipamentos, tecnologias de saúde, etc.) e em condições de trabalho, e os efeitos dramáticas de tudo isto para para a população.
Na PARTE II analisa-se, embora de uma forma sintética, o “Plano de Emergência da Saúde” (PES) do governo, e mostra-se que o objetivo fundamental deste plano não é resolver os graves problemas que enfrenta atualmente o SNS como a falta de profissionais, a necessidade remunerações dignas para os manter e atrair para o SNS, investimentos para pôr cobro à profunda degradação do SNS, devido à falta de instalações ou profundamente degradadas, com equipamentos obsoletos como consta do relatório entregue à ministra pelo ex-Diretor Executivo do SNS, pois não se encontra no PES qualquer medida importante nesse sentido com o objetivo de reforçar o SNS. O objetivo fundamental, para não dizer único do “Plano de Emergência da Saúde” do governo é, a pretexto que os serviços doo SNS estão esgotados, por culpa dos sucessivos governos e também deste, privatizar ainda mais cuidados de saúde, entregando a realização de cuidados de saúde que até aqui realizados pelo SNS, a entidades do setor social e privado. E embora o setor social e privado não tenha capacidade para realizar esses serviços, como constatei enquanto estive no Conselho Diretivo da ADSE, os efeitos serão dramáticos para a população que continuará a não ter acesso a cuidados de saúde e causará também uma redução no já reduzido Orçamento do SNS pois o governo pretende que o pagamento aos grupos privados seja feito pelo Orçamento do SNS. O que se pretende é criar mercado para que os grandes grupos para que estes invistam com um mercado seguro e lucrativo financiado pelo Orçamento do Estado, SNS e , de uma forma crescente, pelos próprios utentes.
PARTE I
A SITUAÇÃO ATUAL DO SNS E DOS SEUS PROFISSIONAIS
OS PRINCIPAIS PROBLEMAS QUE ENFRETA O SNS E A FALTA DE QUAISQUER MEDIDAS NO “PLANO DE EMERGENCIA DA SAÚDE” DO GOVERNO PARA OS ENFRENTAR E PARA REFORÇAR O SNS E ASSIM GARANTIR À POPULAÇÃO O ACESSO RÁPIDO A CUIDADOS DE SAÚDE NOS TERMOS DEFINIDOS NA CONSTITUIÇÃO DA REPÚBLICA
A EVOLUÇÃO DO NÚMERO DE MEDICOS DO SNS POR CATEGORIAS E POR CLASSES DE REMUNERAÇÃO ILIQUIDAS (antes dos descontos): Em 2024, 10461 médicos internos recebiam remunerações ilíquidas entre 1753€ e 2349€ e 11306 médicos assistentes tinham remunerações brutas entre 3281€ e 3723€. Os dados gráfico também revelam outra conclusão importante. A existência de um bloqueamento dos médicos na categoria de “ASSIS-TENTES”, a de mais baixos salários da carreira medica. Entre 2017/2023 o numero de médicos ASSISTENTES aumentou em 3625 (+67,8%), passou de 7671 para 11306, enquanto o de ASSISTENTES GRADUADOS + ASSISTENTES GRADUADOS SENIORES diminuiu de 9412 para 9231 (-188). Será que o objetivo é gastar menos pagando mal aos médicos? É PERGUNTA QUE DEIXO AOS MEDICOS PARA SUA REFLEXÃO? QUAL A CAUSA DESTE APARENTE BLOQUEAMENTO NA CARREIRA MÉDICA?

A EVOLUÇÃO PERCENTUAL DOS NÚMERO DE MEDICOS POR CATEGORIAS E POR CLASSES DE REMUNERAÇÃO LIQUIDA (após descontos) DE 2024 ENTRE 2017 E 2023, A CATEGORIA DE QUE MAIS AUMENTOU FOI A DOS ASSISTENTES (o seu peso subiu de 24,8% para 29,3), ou seja, OS MÉDICOS DA CARREIRA MÉDICA COM REMUNERAÇÕES LIQUIDAS (deduzindo os descontos) MAIS BAIXAS (entre 1999€ E 2127€), E A PERCENTAGEM DE ASSISTENTES GRADUADOS E SENIORES (os mais qualificados e mais anos de experiência) AS SUAS REMUNERAÇÕES LIQUIDAS VARIAM ENTRE 2220€ E 3105€ . PERGUNTA: Com estes valores de remunerações liquidas como é que se consegue atrair e manter os médicos no SNS? Efetivamente a percentagem diminuiu 36% para 29,7% do total de médicos

OS AUMENTOS DE REMUNERAÇÕES RESULTANTES APENAS DE AUMENTOS ANUAIS NA TABELA REMUNERATÓRIA ÚNICA (TRU) DECIDIDOS PELO GOVERNO PARA TODA A ADMINISTRAÇÃO PÚBLICA (entre 2011/2023, +4,2%) CAUSARAM UMA ENORME PERDA DE PODER DE COMPRA DOS TRABALHADORES. SÓ EM 2024, FRUTO DA SUA LUTA É QUE OS MEDICOS SUBIRAM 6 NIVEIS DA TABELA REMUNERATÓRIA E MESMO ASSIM NÃO CONSEGUIRAM RECUPERAR A TOTALIDADE DO PODER DE COMPRA PERDIDO

ATÉ 2023 A REMUNERAÇÃO BASE MÉDIA MENSAL ILIQUIDA NOMINAL DOS MÉDICOS FOI SEMPRE INFERIOR À DE 2011 ATE 2023 COMO MOSTRA O GRAFICO (dados da DGAEP). SÓ EM 2024, COM O SALTO DE NIVEIS DA TRU É QUE A REMUNERAÇÃO ATINGIU 3011€, SENDO SUPERIOR À DE 2011 EM 239€. MAS EM PODER DE COMPRA (deduzindo a inflação) A DE 2024 É INFERIOR À DE 2011 EM -15,7%% (-377€). O MESMO SE VERIFICA COM GANHO MÉDIO ILIQUIDO (inclui tudo o que o médico recebe), POIS EM PODER DE COMPRA O GANHO MÉDIO DE JAN/24 É INFERIOR AO DE 2011 EM -8,8% (-321€)- COLUNAS A VERDE

A REDUÇÂO DO PODER DE COMPRA DA REMUNERAÇÃO BASE LIQUIDA (após todos os descontos) DOS MÉDICOS ENTRE 2011 E 2024 (-16,2%), FOI 2,2 VEZES SUPERIOR À MÉDIA REGISTADA PARA TODOS TRABALHADORES DS ADMINISTRAÇÕES PÚBLICAS (-7,3%). OS MEDICOS TÊM SIDO UM DOS GRUPOS PROFISSIONAIS MAIS PREJUDICADOS COM A POLITICA DE REMUNERAÇÕES DOS SUCESESIVOS GOVERNOS. NÃO É POSSIVEL ASSIM ATRAIR E MANTER OS MÉDICOS NO SNS. COM ESTA POLITICA DE REMUNERAÇÕOES OS MEDICOS SÃO “EMPURRADOS”PARA OS PRIVADOS E PARA O ESTRANGEIRO COMO ESTÁ ACONTECER. SERÁ ESSE O OBJETIVO? (os dados utilizados são da DGAEP)

ESTIMATIVA DA PERDA DE PODER DE COMPRA DOS MÉDICOS ENTRE 2011 E 2024 COM BASE NAS TABELAS “TEMPO COMPLETO” E “DEDICAÇÃO EXCLUSIVA” DE 35 HORAS SEMANAIS DE 2011 E 2024.
OS QUE EXCLUSIVIDADE NO SNS – dedicação exclusiva – FORAM OS MAIS PREJUDICADOS. SERÁ QUE O OBJETIVO É DESMOBILIZAR OS QUE QUEREM DEDICAR-SE EXCLUSIIVAMEMNTE AO SNS?

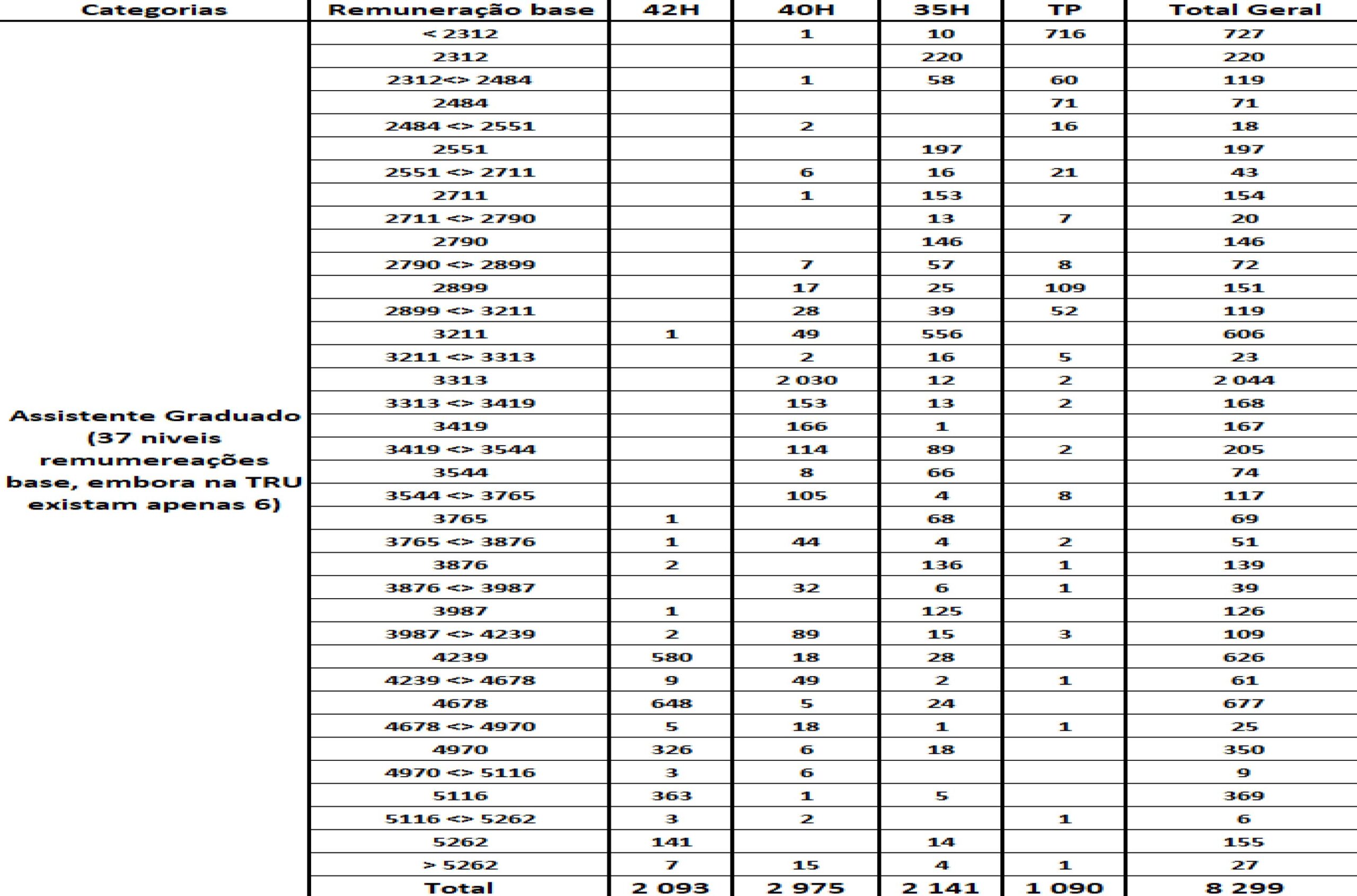
PROLIFERAÇÃO DE NIVEIS SALARIAIS EM NUMERO MUITO SUPERIOR À TRU:APESAR DE CONSTAR NA TABELA REMUNERATÓRIA ÚNICA APENAS 4 NIVEIS REMUNERATORIOS NA CATEGORIA DE ASSISTENTE GRADUADO SENIOR , O MINISTÉRIO DA SAÚDE INFORMOU QUE EXISTEM DE FACTO 27 NIVEIS REMUNERATÓRIOS

PROLIFERAÇÃO DE NIVEIS SALARIAIS EM NUMERO MUITO SUPERIOR À TRU QUE NÃO É BOA PARA O SNS: NA TABELA REMUNERATÓRIA ÚNICA CONSTAM 4 NIVEIS REMUNERATORIOS NA CATEGORIA DE ASSISTENTE GRADUADO, O MINISTÉRIO DA SAÚDE INFORMOU QUE EXISTEM 27 NIVEIS DE REMUNERAÇÕES

PROLIFERAÇÃO DE NIVEIS SALARIAIS EM NUMERO MUITO SUPERIOR À TRU QUE NÃO BOA PARA O SNS: NA TABELA REMUNERATÓRIA ÚNICA CONSTAM 4 NIVEIS REMUNERATORIOS NA CATEGORIA DE ASSISTENTE , MAS O MINISTÉRIO DA SAÚDE INFORMOU QUE EXISTEM DE FACTO 27 NIVEIS REMUNERATÓRIOS.

A MULTIPLICIDADE DE NIVEIS REMUNERATORIOS ASSOCIADA À MULTIPLICIDADEW DE HORÁRIOS DE TRABALHO DOS MÉDICOS NO SNS CAUSA DESORGANIZAÇÃO, INEFICIÊNCIAS, E SOBRECARGA DE TRABALHO. E ISTO PORQUE É MAIS DIFICIL CONSTITUIR EQUIPAS, UTILIZAR AS MELHORES PRATICAS, POIS TORNA MAIS DIFICL O DEBATE MULTIDISCIPLINAR E A TRANSMIÇÃO DE SABERES E EXPRIENCIAS VARIADAS , ETC. AS CONSEQUENCIAS SÃO MAIS GRAVES PELO FACTO DO HORÁRIO A TEMPO PARCIAL TER MAIOR PESO NAS CATEGORIAS DE ASSISTENTE GRADUADO E ASSISTENTE SENIOR, OU SEJA, DOS COM MAIOR QUALIFICAÇÃO E MAIS EXPERIÊNCIA, QUE ASSIM FICAM SEM TEMPO PARA APOIAR OS RESTANTES MÉDICOS NA PROGRESSÃO DA SUA CARREIRA. Mas compete aos próprios avaliar as consequências desta situação fruto de uma politica de remunerações inadequada

EM MARÇO DE 2024, 66,3% DO PESSOAL MÉDICO ERAM MULHERES. CONDIÇÕES DE TRABALHO QUE GARANTAM A ESTABILIDADE FAMILIAR É FUNDAMENTAL. TRABALHO EXTRAORDINÁRIO EXCESSIVO NÃO É COMPATIVEL COM UMA VIDA FAMILIAR ESTÁVEL. Querer impor um número desmesurado de horas extraordinárias contra a vontade dos médicos, como anunciou a atual ministra, pagando um pouco mais acima de um determinado número de horas para assim não aumentar as remunerações base e evitar contratar mais médicos, é desumano

Entre 2017 e 2023, a percentagem de médicos especialistas até 44 anos aumentou de 38% para de 51,6% do total. E entre 2017 e 2023, o grupo dos 45 aos 54 anos passou de 17,8% para 16,9%, e o dos médicos com idade entre 55 e 64 anos reduziu-se de 38,2% para 19,9% do total de médicos especialistas. Estes 2 últimos grupos são constituídos, na maioria, por médicos mais qualificados e com maior experiência, que estão a abandonar o SNS para o privado ou o estrangeiro, o que é dramático para a população. NO PLANO DE EMERGÊNCIA PARA A SAÚDE DO GOVERNO NÃO HÁ QUALQUER MEDIDA PARA INVERTER ESTE ABANDONO DOS MEDICOS MAIS QUALIFICADOS DO SNS. . O QUE AUMENTOU FOI O GRUPO DE MEDICOS COM MAIS DE 65 ANOS QUE, ENTRE 2017 E 2023, CRECEU DE 6% PARA 11,6% DO TOTAL.

O NUMERO DE MÉDICOS POR 1000 HABITANTES É DIFERENTE DE REGIÃO PARA REGIÃO E TEM VARIADO DE FORMA DIFERENTE AO LONGO DOS ANOS, O QUE AGRAVOU AINDA MAIS A FALTA DE MÉDICOS EM ALGUMAS REGIÕES DO PAÍS, REFLETINDO-SE NO AGRAVAMENTO DAS CONDIÇÕES DE TRABALHO DOS MÉDICOS E NOS SERVIÇOS DE SAÚDE PRESTADOS À POPULAÇÃO – Com base no melhor trácio de nº de médicos especialistas por região em 2022 – 2,25 por 1000 habitantes na R. Norte – FALTAM 2277 MÉDICOS ESPECIALISTAS para que em todas as regiões do país o rácio de médicos por 1000 habitantes fosse 2,25 que é o da Região Norte

A REPARTIÇÃO DOS MÉDICOS ESPECIALISTAS NOS CUIDADOS PRIMÁRIOS POR RE-GIÕES É TAMBÉM MUITO DESIGUAL. A REGIÃO LVT (Lisboa e Vale do Tejo) É ONDE EXISTEM MAIS UTENTES SEM MEDICO DE FAMILIA – Com base no melhor rácio por região em 2022 que é o da R. Centro – 0,68 por 1000 habitantes – estima-se que faltam 856 médicos de família para que em todas as regiões o rácio de médicos por 1000 habitantes fosse 0,68 = ao da R. Centro

A FALTA DE MEDICOS DE MEDECINA FAMILIAR DETERMINA QUE OS UTENTES SEM MEDICO DE FAMILIA, QUE TINHAM DIMINUIDO NOS PRIMEIROS MESES DE 2024, A TENDENCIA TENHA-SE INVER-TIDO E DE NOVO AUMENTOU, ATINGINDO, EM ABRIL/24, 1,5 MILHÕES DE UTENTES SEM MÉDICO DE FAMILIA E NÃO 1,7 MILHÕES COMO A MINISTRA DA SAÚDE AFIRMOU E CONSTA DO SEU “PLANO DE EMERGENCIA PARA A SAÚDE” . A UTILIZAÇÃO DA MENTIRA OU A IGNORÂNCIA NÃO FICA BEM A UMA GOVERNANTE

A FALTA DE ENFERMEIROS EM MUITAS REGIÕES DO PAÍS AGRAVA AINDA MAIS A DISPONIBILIZAÇÂO DE CUIDADOS DE SAÚDE ÀS POPULAÇÕES DESSAS REGIÕES. A REPARTIÇÃO DE ENFERMEIROS POR REGIÕES É TAMBÉM MUITO DESIGUAL – Com base no melhor rácio do nº de enfermeiros por região em 2022 que é o da R. Centro – 6,01 por 1000 – faltam 8978 enfermeiros para que em todas as regiões o rácio de enfermeiros por 1000 habitantes fosse 6,01, que é o da R. Centro. No Plano de Emergência da Saúde não existe qualquer medida para esta questão com consequências para a população

O SUBFINANCIAMENTO CRÓNICO DO SNS, COM QUE OS SUCESSIVOS TÊM PROCURADO ESTRANGULAR O SNS, DETERMINA QUE ELE SÓ TEM CONSEGUIDO FUNCIONAR ENDIVIDANDO-SE MUITO AOS FORNECEDORES PRIVADOS, O QUE CAUSA PREÇOS MAIS ELEVADOS, FALTA DE PRODUTOS ESSENCIAIS, ATRASOS, INEFICÊNCIAS E DERESPONSABILIZAÇÃO PORQUE SE SABE À PARTIDA QUE O ORÇAMENTO APROVADO NÃO É PARA CUMPRIR. HAVERÁ SEMPRE UM REFORÇO NO FIM DO ANO PARA PAGAR AOS PRIVADOS. E A MINISTRA QUER IR BUSCAR DINHEIRO A ESTE ORÇAMENTO PARA CONTRATAR SERVIÇOS AOS PRIVADOS

PARTE II
“O PLANO DE EMERGENCIA DA SAÚDE” DO GOVERNO DA AD, ASSENTA FUNDAMENTALMENTE NA CONTRATAÇÃO A PRESTADORES PRIVADOS DE SERVIÇOS DE SAÚDE REALIZADOS ATÉ AGORA PELO SNS. É UM “PLANO DE ILUSÕES” QUE NÃO RESOLVERÁ OS PROBLEMAS EXISTENTES PORQUE OS PRIVADOS NÃO TEM CAPACIDADE DISPONÍVEL PARA O EXECUTAR, E VAI CUSTAR MUITO CARO AO SNS POIS É O ORÇAMENTO DO SNS QUE TERÁ DE PAGAR OS SERVIÇOS QUE OS PRIVADOS ESTEJAM INTERSSADOS EM PRESTAR. É MAIS UM PASSO NA PRIVATIZAÇÃO DOS SERVIÇOS DE SAÚDE EM PORTUGAL, E NA SUA TRANSFORMAÇÃO NUM NEGÓCIO PRIVADO LUCRATIVO NA MEDIDA QUE PRETENDE CRIAR UM MERCADO SEGURO, PORQUE FINANCIADO PELO O.E. ATRAVÉS DO SNS, PARA OS GRUPOS PRIVADOS PODERAM DESENVOLVER AINDA MAIS E COM UM MERCADO GARANTIDO (assim se pretende garantir a segurança em investimentos futuros).
O ARGUMENTO QUE O GOVERNO DA AD UTILIZA PARA ENTREGAR SERVIÇOS DE SAÚDE PRESTADS PELO SNS A PRIVADOS NÃO DEIXA DE SER INSÓLITO E DEVE PENSAR QUE PODE ENGANAR FACILMEMNTE OS PORTUGUESES. O ARGUMENTO DO GOVERNO PARA PRIVATIZAR SERVIÇOS DO SNS É O SEGUINTE: “TEM DE PRIVATIZAR SERVIÇOS DO SNS PORQUE O SNS ESTÁ ESGOTADO E POR ISSO É NECESSARIO RECORRER AOS PRIVADOS”. E ISTO QUANDO OS SUCESSIVOS GOVERNOS, INCLUINDO O DO PSD/CDS, ESTRANGULARAM FINANCEIRAMENTE O SNS, REDUZIRAM O PODER DE COMPRA DOS SEUS PROFISSIONAIS, E DESINVESTIRAM, CAUSANDO DESTA FORMA O QUE CONSIDERAM AGORA “ O ESGOTAMENTO DO SNS”. E DEPOIS UTILIZAM A SITUAÇÃO QUE ELES PRÓPRIOS CRIARAM PARA JUSTICAR A PRIVATIZAÇÃO DE SERVIÇOS DE SAÚDE QUE DEVIAM CONTINUAR A SER REALIZADOS PELO SNS. FAZ LEMBRAR A CONHECIDA FÁBULA DE LA FONTAINE “ O lobo e o cordeiro”. MAS O GOVERNO AINDA TEM UMA FORMA DE CORRIGIR AS MALFEITORIAS QUE FORAM FEITAS PELOS SUCESSIVOS GOVERNOS AO SNS. É REFORÇAR O SNS, MAS ISSO NÃO INTERESSA AOS GRANDES GRUPOS PRIVADOS DE SAÚDE, POR ISSO O GOVERNO NÃO ESTÁ INTERESSADO NELA. A PROVÁ-LO ESTÁ O FACTOO DE QUE NO “PLANO” QUE APRESENTOU NÃO HÁ QUALQUER COM ESSE OBJETIVO. PELO CONTRARIO O QUE GOVERNO PRETENDE É DEBILITAR AINDA MAIS O SNS , MESMO DESTRUI-LO COM O PARADIGMA QUE TEM AGORA QUE É O DA CONSTITUIÇÃO ATRAVÉS DO PAGAMENTO AOS PRESTADORES PRIVADOS COM O ORÇAMENTODO SNS.
PRINCIPAIS MEDIDAS DO “PLANO DE EMERGÊNCIA DA SAÚDE” DO GOVERNO, DE 16 MEDIDAS EM 10 RECORRE AOS SETORES SOCIAL OU PRIVADO, COM CUSTOS ELEVADOS, CUJA CAPACIDADE É REDUZIDA, POIS VIVEM À CUSTA DOS PROFISSIONAIS DE SAÚDE DO SNS A QUEM PAGAM “à peça” ou “à hora”, E NÃO NO REFORÇO DO SNS, AGRAVANDO A SUBORÇAMENTO POIS É O SNS QUE TERÁ PAGAR AOS PRIVADOS (PARTE I)

PRINCIPAIS MEDIDAS DO “PLANO DE EMERGÊNCIA DA SAÚDE” DO GOVERNO, DE 16 MEDIDAS EM 4 RECORRE AOS SETORES SOCIAL OU PRIVADO, COM CUSTOS ELEVADOS, CUJA CAPACIDADE É REDUZIDA, POIS VIVEM À CUSTA DOS PROFISSIONAIS DE SAÚDE DO SNS A QUEM PAGAM “à peça” ou “à hora”, E NÃO NO REFORÇO DO SNS, AGRAVANDO ASSIM A SUBORÇAMENTAÇÃO POIS É O SNS QUE TERÁ DE PAGAR AOS PRIVADOS (PARTE II)

A ILUSÃO QUE RECORRENDO AOS GRUPOS PRIVADOS DA SAÚDE, E PAGANDO PREÇOS ELEVADOS PARA GARANTIR LUCROS ELEVADOS AOS PRIVADOS, SE RESOLVE O PROBLEMA DAS LISTASS DE ESPERA NO SNS – Como revela o INE, em 2022, dos 25153 médicos hospitalares apenas 1489 médicos, ou seja, 5,9%, pertenciam a hospitais privados. E havia especialidades como a da oncologia, que dos 297 médicos desta especialidade que existem no país apenas 24 estão em hospitais privados. COMO SE PODE PENSAR QUE COM ESTA REDUZIDISSIMA CAPACIDADE DOS PRIVADOS SE RESOLVE O PROBLEMA DAS LISTAS DE ESPERA NO SNS QUE CRESCEM TODOS OS DIAS? SÓ PODE SER A IGNORÂNCIA OU A INTENÇÃO DECLARADA DE ENGANAR A POPULAÇÃO SE APRESENTA UM PLANO EM QUE A PRINCIPAL MEDIDA É CONTRATAR OS PRIVADOS. A SOLUÇÃO ESTÁ É NO SNS E SEUS PROFISSIONAIS INVESTINDO MAIS, ORGANIZANDO MELHOR, E RESPONSABILIZANDO OS SEUS DIRIGENTES PELOS CUIDADOS DE SAÚDE À POPULAÇÂO

O ORÇAMENTO DO SNS DE 2024 REVELA À PARTIDA QUE É INSUFICIENTE (a previsão de aumento da despesa corrente durante 2024 é de +4,3%, mas no 1º Trimestre/ 2024 cresceu 6,7%) E É DESTE ORÇAMENTO QUE O GOVERNO QUER TIRAR DINHEIRO PARA PAGAR AOS PRIVADOS. É O INICIO DA DESTRUIÇÃO DO SNS

A EXECUÇÃO MUITO BAIXA DOS INVESTIMENTOS NO SNS APROVADOS ANUALMENTE TEM CAUSADO UMA PROFUNDA DEGRADAÇÃO NOS EQUIPAMENTOS ( instalações, aparelhos essenciais, etc., existentes que já têm dezenas anos e estão obsoletos como relata o ex-Diretor Executivo do SNS no seu Relatório) AGRAVANDO AS CONDIÇÕES DE TRABALHO DOS PROFISSIONAIS QUE ENFRENTAM FALTAS DE MATERIAIS E TECNOLOGIAS, O QUE SE REFLE NEGATIVAMENTE NOS SERVIÇOS À POPULAÇÃO

ALGUMAS QUESTÕES QUE DEIXO PARA REFLEXÃO DOS LEITORES E SE POSSIVEL PARA OBTER A SUA OPINIÃO – enviar respostas para edr2@netcabo.pt
- Será que os dados apresentados são suficientes para dar um retrato claro dos problemas, dificuldades e desafios que enfrenta atualmente o SNS e como enfrentá-los ? Em caso negativo, indique o que ainda ser tratado e como tratar?
- Como se resolverá as listas de espera existentes no SNS? Reforçando o SNS ou contratando serviços a grupos privados de saúde?
- Que medidas deviam ser tomadas para manter e atrair médicos para o SNS de forma a colmatar os que faltam, tanto nos Hospitais como nos Centros de Saúde? A mesma pergunta em relação aos milhares de enfermeiros que faltam no SNS?
- O que pensa sobre o “Pano de Emergência da Saúde“ do governo AD? Resolverá os problemas existentes no SNS ou terá poucos efeitos, deixando, no essencial, tudo na mesma? Encontra nele medidas para reforçar o SNS? Porquê?
- O que pensa sobre a abertura de um concurso com 900 vagas para médicos de família no pais, numero superior em 40% ao total de novos especialistas, sendo 400 em LVT anunciado pela ministra feito também em anos anteriores e preenchidos apenas num terço (em 2023 o concurso tinha 937 vagas e foram preenchidas apenas 314)?
- Que pensa da criação de incentivos (pagamento adicional a partir de um determinado nº de horas) para os médicos que se dispuserem a fazer mais de 150H extraordinárias também anunciadas pela ministra? Será mau para os médicos (mais carga de trabalho e cansaço para os médicos) e maior risco para os doentes (médicos cansados os erros médicos serão naturalmente mais frequentes)?


